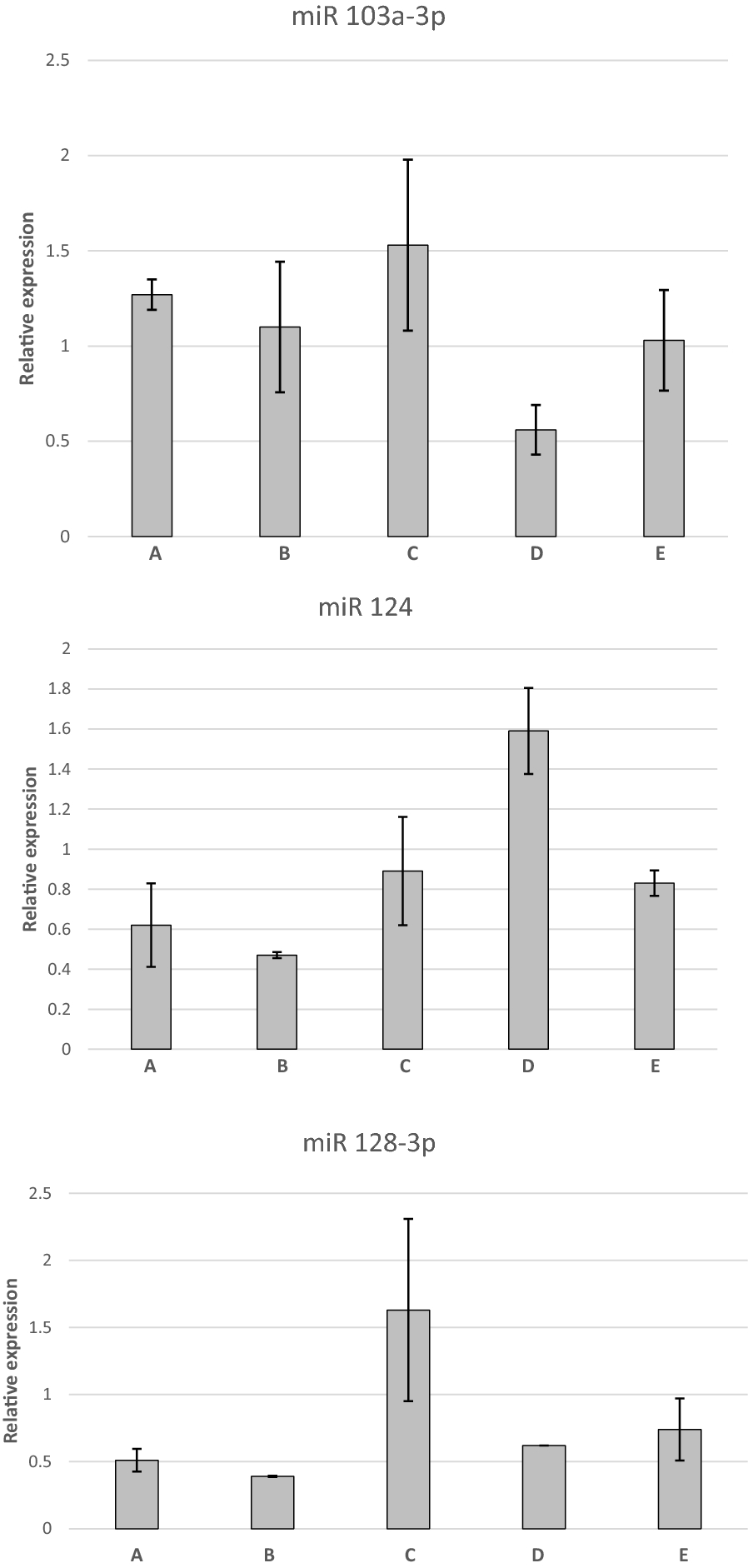
Fig. 2
From: Expression of microRNAs in cerebrospinal fluid of dogs with central nervous system disease

Relative expression of microRNA-103a-3p (miR-103a-3p), microRNA-124 (miR-124), microRNA-128-3p (miR-128-3p) in cerebrospinal fluid (CSF) of dogs with inflammatory conditions (group A), neoplastic conditions (group B), idiopathic epilepsy (group C), degenerative conditions (group D), and other neurological disorders not affecting the CNS (group E). Error bars represent the standard error. *Statistically significant difference between groups (*P = 0.008)