- Research
- Open access
- Published:
Reduced high intensity training distance had no effect on VLa4 but attenuated heart rate response in 2-3-year-old Standardbred horses
Acta Veterinaria Scandinavica volume 57, Article number: 17 (2015)
Abstract
Background
Training of Standardbred race horses aims to improve cardiovascular and metabolic functions but studies on the effects of different training strategies from breaking till racing are lacking. Sixteen horses with the goal to race as 3-year-olds were studied from breaking (1-year-olds) to December as 3-year-olds. Horses were allocated to either a control (C) or reduced (R) training program from 2Â years of age. The aim was to evaluate the effect of reducing the distance of high intensity exercise by 30% with respect to velocity at lactate concentration 4Â mmol/l (VLa4), blood lactate and cardiovascular response. All training sessions were documented and heart rate (HR) was recorded. A standardized exercise test of 1,600Â m was performed 10 times and a VLa4 test was performed five times.
Results
C horses initially exercised for a longer time with a HR >180 beats per minute compared to R horses (P < 0.05) but after 6–9 months, time with HR >180 bpm decreased in C and were similar in the two groups (P > 0.05). Over the 2-year period, recovery HR after the 1,600 m-test decreased in both groups but was within 2 months lower in C than in R (P < 0.05). C horses also had lower resting HR as 3-year-olds (P < 0.01) than R horses. In C, post exercise hematocrit was higher than in R (P < 0.05). There was a tendency (P < 0.1) towards a larger aortic diameter in C as 3-year-olds (C: 1.75 ± 0.05, R: 1.70 ± 0.05 cm/100 kg BW). Left ventricle diameter and blood volume (in December as 2-year-olds) did not differ between groups. There were no differences between groups in post exercise blood lactate concentration or in VLa4. Both groups were equally successful in reaching the goal of participation in races.
Conclusions
Horses subjected to a reduced distance of high intensity training from the age of 2 showed an attenuated heart rate response, but were able to maintain the same VLa4 and race participation as horses subjected to longer training distances.
Background
Standardbred horse race performance is positively correlated to VLa4 [1-3] and, in general, European Standardbred horses are subjected to high intensity training for at least 1Â year before the competition career can begin. Training is associated with improvements in cardiovascular responses [4], thermoregulation, aerobic and glycolytic metabolism, as well as reductions in the accumulation of extracellular potassium, reduced depletion of muscle ATP and glycogen [5]. While all physiological systems are stressed in order to improve exercise performance and quality of musculoskeletal tissues, changes within each may also contribute to fatigue during acute exercise and training [5,6] and (chronic) overload of musculoskeletal tissues. Amongst sport horses, lameness is a common cause of a defaulted race career [7,8]. Interestingly, there have been no studies comparing the effects of different training strategies applied from breaking to the start of the racing career on performance related variables in race horses. However, the volume of high intensity training is positively correlated with increased risk of musculoskeletal problems in race horses [9-11]. Accordingly, one strategy to reduce the risk of musculoskeletal overload injuries could be a reduction of the volume (distance, duration) of high intensity training.
The aim of this study was to evaluate the effect on VLa4, blood lactate and cardiovascular response of two training distances (control and reduced by 30%) of high intensity training over a 21-month period in 2Â year old Standardbred horses with the goal to race as 3-year-olds. The control training program was designed together with group of professional trainers and estimated to be sufficient to get horses in to a condition to race by the age of 3Â years.
Methods
The study was performed at the Swedish National Trotting School, WĂ¥ngen, Sweden, and the horse use and testing protocols approved by the UmeĂ¥ Local Ethics Committee according to the Swedish law of animal welfare.
Horses
Sixteen Standardbred geldings born between 19th of March and 15th of July in 2009 were used. The horses were from four Swedish breeders, were progeny from eight sires and were chosen with the criteria to be of mainly American ancestors. The horses were taken care of and trained by high school students with supervision from professional trainers. Prior to the study, all horses had received the same training which started with breaking in September 2010 as 1-year-olds [12]. All horses had been at the national training facility for 2–4 months before the study started, and kept on the same diet and management system [12]. The study started in January 2011 as 2-year-olds and from January to the middle of March 2011 all horses were subjected to the same training program. In the middle of March 2011 horses were divided in two groups and one group was allocated to a control (C) training program and the other to a reduced (R) training program until December 2012 as 3-year-olds. The groups were balanced with respect to breeder and factors known to affect race performance in Swedish Standardbred trotters. These include sire [13] estimated genetic potential (breeding index calculated from the average of the parents [14,15], percentage of French ancestors [16], inbreeding coefficient [17], age [18,19], abnormal radiographic findings in metacarpal metatarsal and tarsal joints, conformation (subjectively determined through visual examinations: x-shaped legs, asymmetric pelvis, tied in below the knee, i.e. leg circumference smaller below knee than above fetlock), height at withers [20,21] and proportion of type IIA / type IIB muscle fibers in musculus gluteus medius [22] from a muscle biopsy taken in December 2010 as 1-year-olds (Table 1).
Training
The training programs were designed together with a group of experienced professional trainers and included heat training, flat interval training and uphill interval training, which is common practice in Sweden. The training track mainly used was a 1,000 m oval banked sand track, 3 m incline that during wintertime was frozen and covered with crushed snow and ice. Throughout the study, the speed was set by the trainer and was the same in both groups (see below). Based on the correlation between post-exercise lactate response and 10-min recovery HR (y = 4,1513x + 55,944, R2 = 0.54) observed on these horses in March 2011, a maximal 10 min post-exercise HR of 80 bpm was aimed for (corresponding to a blood lactate concentration less than 6 mmol/L; plasma lactate ≤ 8 mmol/L; [23]) and speed was adjusted according to this in all training sessions as 2-year-olds but not as 3-year-olds. This meant that if HR10 min post exercise were > 80 bpm in an individual the speed during the next session was decreased for that individual. As there were individual variations of HR10 within training groups, two sub-training groups were created with equally many horses from each training group. These groups were exercised at a speed adjusted so that all horses should have a HR10 of max 80 bpm. The speed was also adjusted due to track conditions (muddy track, lower speed). As 3-year-olds, speed was adjusted according to the trainer’s judgement of the horses’ capability but was always the same for group C and group R.
In January 2011 as 2-year-olds, horses had recently been castrated and therefore training for 2–3 weeks was mostly walk and slow trot ~3 times/week. In February 2011, exercise in heats of 1,600 m on the oval banked race track was introduced mixed with jogging 1–2 times/week. Beginning on the 18th of March 2011, all exercise sessions that were expected to cause a heart rate (HR) > 180 beats per minute (bpm) had the exercise distance reduced by approximately 30% for horses allocated to the R-group. The HR limit of 180 bpm was chosen since workloads producing a HR above that will stress both aerobic and anaerobic systems [24].
High intensity training was performed ~2 times/week. Heat exercise (C: 1–3 times 1,600 m/training session, R: 1–3 times 1,100 m/training session, 10 min walk/jog between bouts until October 2011 as 2-year-olds and therefrom 4 min walk between bouts) was performed throughout the study (Table 2). Before heat exercise horses in both groups were warmed up by jogging 3,000 m at an approximate speed of 6 m/s. The mean speed during heat exercise when horses had a HR > 180 bpm was 8.7 ± 0.1 m/s as 2-year-olds and 9.5 ± 0.1 m/s as 3-year-olds (P < 0.0001). After heat exercise horses were jogged 1,200 m at an approximate speed of 6 m/s before return to the stable.
From August 2011 as 2-year-olds, interval exercise (performed at straight parts of the oval track, 500 m/interval in August and September and thereafter 700 m/interval, 1 min walk between each interval [C: 6 times 500–700 m, R: 4 times 500–700 m]) was also performed. The mean speed during interval exercise on flat ground for both groups when horses had a HR > 180 bpm were 8.3 ± 0.2 m/s as 2-year-olds and 9.3 ± 0.2 m/s as 3-year-olds (P < 0.001). The warm up before and jog after the intervals were the same as for heat exercise. Also, from February 2012 as 3-year-olds, uphill intervals (600 m, 5% incline, 30 m rise per interval, 4 min walk/jog downhill between each interval [C: 6 intervals, 180 m rise, R: 4 intervals, 120 m rise]) were used. Before uphill intervals horses were jogged in a hilly terrain at an approximate speed of 5 m/s for 5,500 – 6,000 m. After the last interval horses were walked 500 m back to the stable. During all interval exercise, horses from both groups were exercised together for the first 4 intervals and then C horses continued for 2 more intervals after the R horses had finished. For the uphill interval exercise when HR > 180 bpm the speed was 7.3 ± 0.9 m/s. Lactate concentrations were used to confirm workloads recommended for interval training by Lindholm and Saltin [6] (interval exercise: 5.3 ± 3.3 mmol/L after the 4th interval and 7.2 ± 5.6 mmol/L after the 6th interval, uphill interval exercise: 10.0 ± 1.4 mmol/L after the 4th interval and 8.8 ± 1.2 mmol/L after the 6th interval).
On a few occasions, as a preparation for participation in official races, heat exercise of 2,000Â m was performed by all horses, since most official races in Sweden are 2,140Â m.
Between training sessions both groups were also jogged on a mostly flat jog track (2-year-olds: 47 ± 8 sessions, 169 ± 175 s/session with HR > 180 bpm [n = 20], 3-year-olds: 35 ± 12 sessions 38 ± 34 s/session with HR > 180 bpm [n = 13] [mean ± SD per horse]) and at a cross country jog track (2-year-olds: 16 ± 4 sessions, 289 ± 122 s with HR > 180 bpm [n = 28], 3-year-olds: 3 ± 2 sessions, 524 ± 132 s with HR > 180 bpm [n = 26] [mean ± SD]) depending on track conditions.
Equally many training sessions were planned for horses in both groups and all training sessions (type and distance) were documented in a protocol and summarized in eight 3-month periods with the exception of the first period of 2.5 months that ended on the 17th of March 2011 as 2-year-olds (Table 2). Horses that according to the head trainer’s opinion were unhealthy were left out of training for as long as he thought was needed. Training could also be cancelled due to poor weather and track conditions or lack of staff. According to a routine check list including drivers’ opinion on fitness and general condition, horses were sent for a veterinary check. After longer pauses (>3 weeks) training then started with light exercise until the horse was considered ready to join the training program of the group where it belonged. Planned periods of rest for all horses due to practical reasons for the trainer and staff occurred for one week in April and 1.5 weeks in July and October 2011 as 2-year-olds and one week in January, March, June and December 2012 as 3-year-olds.
To reflect the Swedish Standardbred racing industry, an overall goal for horses from both groups was to start competing in races at latest in the last 6 months of the 2012 year’s season as 3-year-olds. When horses were considered to be adequately trained (trainer’s opinion) they participated in a preparation race (2,140 m, velocity standardized to 10.5 - 11.4 m/s) as 2-year-olds, a qualification race (required for permission to participate in official races 2,140 m, > 11.8 m/s) as 3-year-olds and also in official races (1,600 - 2,140 m) as 3-year-olds. For the purposes of this study, these races were classified as heat exercise when calculating the amount of different types of training.
Standardized exercise tests
Two types of standardized exercise tests were performed. The first was a single bout of 1,600 m (1,600 m-test), since the shortest race distance in Sweden is 1,640 m, with the purpose to monitor training response [25]. The test was performed 5 times when horses were 2 years old (March, May, July, August and December 2011) and 5 times when they were 3 years old (April, June, August, October and December 2012). Before each test the horses did a warm up consisting of 3,000 m of slow trot (5.6 m/s), ~ 200 m fast trot (free speed, to make sure the horse was alert), and then slow trot for 1,000 m before the test started. The test aimed for a steady speed of 10.8 m/s, with the exception of the first test which was performed in March 2011 prior to the reduced training intensity for R horses which was run at a speed of 10.0 m/s (near maximal speed that could be maintained at trot for many individuals at that time). There were no differences between groups for speed in the 1,600 m-test (10.6 ± 0.0 m/s for C and 10.7 ± 0.0 m/s for R). Within 1 min after the test was finished, a blood sample was collected in 7 mL lithium heparin-tubesa and the horses jogged for 1,000 m and then returned to the stable.
The second exercise test was performed to determine the velocity at blood lactate concentration of 4 mmol/L (VLa4) for each individual [26]. The VLa4-test was performed 5 times as 3-year-olds (May, July, August, October and December 2012). Before the test started, horses warmed up with 3,000 m of slow trot (5.6 m/s) that finished with a ~ 200 m fast trot, followed by slow trot for another 1,000 m. The VLa4-test comprised 4 intervals of 1,000 m with increasing speed (bout 1: 10.3 ± 0.4 m/s, bout 2: 10.7 ± 0.4 m/s, bout 3: 11.1 ± 0.4 and bout 4: 11.4 ± 0.4 m/s [mean ± SD]) with the aim of determining VLa4 between bouts 2 and 3. Within 1 min after each bout a blood sample was collected from the jugular vein in 7 mL lithium heparin-tubesa. The mean ± SD blood lactate concentrations were for bout 1: 2.8 ± 1.2 mmol/l, bout 2: 3.6 ± 1.5 mmol/l, bout 3: 5.6 ± 1.9 mmol/l and for bout 4: 8.7 ± 2.0 mmol/l. Immediately after the blood sampling, the horses were jogged for 750 m, ~3 min, and then started the next bout. The tests were performed on a 1,000 m race track and the horses were tested in groups of 2–7 horses, balanced between C and R horses.
Blood samples and analyses
Blood samples were immediately stored cooled and analyzed within 20 min for lactate with a Lactate Pro analyzerb, validated for use in horses at lactate concentrations ≤ 12 mmol/L [23]. Hematocrit was determined in the last blood sample in the VLa4-test and all samples from the 1,600 m-test by centrifugationc of capillary tubes for 2 minutes at 14,000 X g at ~15°C.
Heart rate recording
Heart rate and track speeds during all training sessions and exercise tests were measured using heart rate monitors set to record at 1 Hz and synchronized with a GPS (Polar CS600X and G5 GPS sensor, Polar Electro, Finland). Data was downloaded and an analysis provided by Polar ProTrainer 5 Equine Edition Software (Polar Electro, Finland) was used. From HR recordings, only sections where HR was > 180 bpm were used and total time with HR > 180 bpm, total distance with HR > 180 bpm and average speed when HR > 180 bpm were calculated. Also, HR10 min after the intensive exercise and the highest recorded HR for each horse and period was determined from the HR curves. Curves with missing values of more than 20 s in the span > 180 bpm were discarded. After removal of records of poor quality, 1,093 curves remained.
Data were categorized by the type of exercise; heat training, interval training on flat ground and uphill interval training. After the 1,600Â m-test an average HR for the 10th min after passing the finish line was calculated from the HR-meter output (HR10). Heart rate at 10Â min was chosen because of the very rapid decline in HR within 10Â min after exercise and for practical reasons, i.e. horses had returned to the stable and HR measurements could be made indoors, while standing still in a calm environment. HR at VLa4 was estimated from the last 30Â s of each 1,000Â m bout in the VLa4-tests and calculated using exponential regression.
Resting HR was recorded by 2 different methods in January as 2- and 3-year-olds and in December as 3-year-olds. In method 1, HR was determined by auscultation with a phonendoscope in the evening with no other activities in the stable, thus securing a calm and well known environment for the horses. In method 2, horses were fitted with HR meters (Polar CS600X) and HR recorded during night time when quiet. From the HR-meter output the lowest mean of at least 10 min of a consecutive recording were used as resting HR.
Cardiovascular assessments and plasma aldosterone
When horses were at rest, measurement of blood volume were performed in December 2011as 2-year-olds using Evans blue dye dilution as described previously [27] and a hematocrit value obtained from the last VLa4 sample (VLa4 test performed the same day). Echocardiograms were recorded using ultrasoundd and a 1.7-3 mHz probe in January as 2-year-olds, December as 2-year-olds and December as 3-year-olds. Left Ventricular Internal Diameter during diastole (LVIDd) and aorta diameter were recorded and calculated as recommended by Pattesson [28].
Respiratory rate (RR) was recorded at the same time as resting HR by auscultation with a phonendoscope and visual inspection. Blood pressure (BP) was measured at rest with high definition oscillometric (HDO) technique (S + B med VET GmbH, Germany) with a cuff placed at the root of the tail.
Plasma aldosterone concentration was analysed to assess sodium status which could affect cardiovascular responses. The concentration was determined after extraction of fat and proteins (acetone and petroleum ether extraction) by use of a radioimmunoassay kit (Coat-a-Count, DPC, Los Angeles, CA), earlier used in horses [29,30]. The samples for the standard curve were extracted in the same way. The quality control was run using MultiCalc software version 2.0 (Wallac, Turku, Finland). The within and between assay variation was < 10%. Recovery in diluted samples was 95.3%. There was no difference in plasma aldosterone concentration between groups (C-group: 244 ± 37 pmol/L and R-group: 264 ± 37 pmol/L, P > 0.05).
Feeding and management
Horses were fed grass haylage ad libitum and had been adapted to ad lib feeding for 4 months prior to the study. Average body condition score according to Henneke et al. [31] (scale 1–9) were maintained around 5 for the whole study period. From the end of April until October some grass pasture was available in the paddock. The haylage used mainly consisted of Meadow fescue, Timothy and Ryegrass. In total 5 batches were used during the study (47–71% DM content, 10.3-11.7 MJ ME and 93–164 g CP per kg of DM), both 1st and 2nd cuts. The diet was complemented with 0.25 - 1 kg (depending on haylage nutrient content) of a pelleted Lucerne producte to enhance mineral supplement intake and meet the CP requirements [32]. A commercial mineral supplementf was used to meet vitamin and mineral requirements except for between September 2011 as 2-year-olds and May 2012 as 3-year-olds when the only supplement used was a selenium and Vitamin E productg due to sufficient content of Ca, P and Mg in haylage during this period. Sodium chloride was always provided from salt blocks placed in a feed box within each stall and from September year as 2-year-olds an additional 15 g of NaCl was fed together with lucerne and other minerals due to expected increased sweat losses. Water was offered from two 20 L buckets in the stall that were refilled twice a day, and also provided from a big tub in the outdoor paddock.
Horses were stabled individually in 9Â m2 boxes for approximately 8Â hours / day and spent the rest of the time in an outdoor paddock (approximately 20 000Â m2) with access to shelters. Wood shavings were used as litter in boxes and shelters. Hoof trimming and shoeing was performed every 5 - 6th week, and during wintertime (October/November-March) ice chalks were mounted to the shoes permanently.
Calculations and statistical analyses
All statistical analyses were performed using Statistical Analysis Systems package 9.3 (SAS Institute Inc., Cary, NC, USA). From HR-recordings of training sessions, time, distance and speed where HR > 180 bpm, HR10 min post exercise and maximum HR were analyzed for differences between groups (control or reduced), periods (1–8 as described in the training section) and interaction of group and period using a mixed model (proc mixed). We also modelled correlations between repeated measurements of individuals using the model:
where Yi j k is the observation, μ the mean value, ai the effect of individual, βj the effect of group, γk the effect of period, and ei j k the residuals with a spatial power correlation structure between periods (SP-POW).
The number of training sessions performed by each horse was also analyzed in a mixed model for the same effects using an unstructured covariance structure (UN):
where Yi j k is the observation, μ the mean value, ai the effect of individual, βj the effect of group, γk the effect of period, and ei j k the residuals where all covariance’s between periods are estimated separately.
To assess the effect of training status on exercise test variables, the number of training sessions that each individual performed during the last 3 weeks before each exercise test was summarized and classified as 1: 0–2 training sessions, 2: 3–5 training sessions and 3: ≥ 6 training sessions. Training status was then included as a fixed effect in the models for VLa4 and 1,600 m-test. From the VLa4-test, blood lactate concentration (mmol/L) was plotted against speed (m/s) and exponential regression analyses were used to estimate individual VLa4 (MS Office Excel 2010). VLa4 and hematocrit from the last blood sample in the VLa4-test, and blood lactate, HR10 and hematocrit from the 1,600 m-tests were analyzed for differences between groups and occasions when the test was performed by the following model:
where Yi j k l m is the observation, μ the mean value, ai the effect of individual, βj the effect of group, γk the effect of occasion, δl the effect of speed (1,600 m-test only) ηm the effect of training status and ei j k l m the residuals following an ARH(1), i.e. an autoregressive structure with heterogeneous variances, for the different occasions.
Resting HR, RR and BP were analyzed for differences between groups using the first value as in January 2011 as 2-year-olds as a covariate in the following model:
where Yi j k l is the observation, μ the mean value, ai the effect of individual, βj the effect of group, γk the effect of age, δl the effect of starting value as 1-year-olds and ei j k l the residuals following an ARH(1).
For all the above analyses, if the overall effect of interaction between group and occasion was P < 0.1, a separate analysis with this excluded was run including the effects of age and group alone. If no overall effect of interaction was present, P values for effect of group is reported from this analysis. For differences between periods for all horses, data were also analyzed with the effect of group excluded.
Differences between groups in plasma volume, aldosterone and mean HR at VLa4 for 13 horses (due to missing values in 3) were analysed using GLM procedure. Also, a Pearson’s correlations test was performed where all horses were treated as one group to study possible correlations between lactate, HR10 and hematocrit for the 1,600 m-tests.
Differences were considered as significant if P < 0.05. Values are presented as least squared means ± standard errors, P values in text are from ANOVA tables if nothing else is declared.
Results
Training with HR > 180 bpm
As expected, C horses initially exercised for a longer distance with a HR > 180 bpm in heat exercise (P < 0.05), flat ground interval exercise (P < 0.0001) and uphill interval exercise (P < 0.0001) but after 6–9 months, time with HR > 180 bpm decreased in C and was no longer significantly different from R (P > 0.05). Overall, the C horses exercised for a longer time (Figure 1) with HR > 180 bpm in the interval training sessions (flat; P < 0.001 and uphill; P < 0.01) but there were no overall differences between groups in the heat exercise or cross country jogs (P > 0.05). However, for heat exercise there was an interaction of group and period where C horses exercised with a HR > 180 bpm for a longer time in period 2 and 3 (19th of March-end of September 2011as 2-year-olds) than R. The speed when HR >180 bpm was the same for both groups during interval exercise, but during heat exercise C horses had a higher speed (9.2 ± 0.1 m/s vs. 8.9 ± 0.1 m/s, P < 0.001).
High intensity training time and distance. Mean time and distance per training session with heart rate (HR) > 180 bpm in 16 horses subjected either to a control training program (squares) or a reduced (by 30% distance) training program (triangles) from the middle of March as 2-year-olds until December as 3-year-olds. Training was performed as heat training (A), interval training on flat track (B) or uphill interval training (C). * Indicates a difference (P < 0.05) between the control and reduced group. Unfilled dots indicate a significant difference within group from (A) January-June as 2-year-olds, (B) from July-September as 2-year-olds and (C) from January-March as 3-year-olds.
The highest recorded HR did not differ between groups (225 ± 2 bpm vs. 227 ± 2 bpm for C and R, respectively, P > 0.05), and peak HRs were lower in the first 3 months than in the last 18 months (216 ± 3 and 227–231 ± 3 bpm, respectively, P < 0.01). In heat exercise, highest recorded HR were in C 213 ± 1 bpm as 2-year-olds and 223 ± 1 bpm as 3-year-olds and in R 216 ± 1 bpm as 2-year-olds and 223 ± 1 bpm as 3-year-olds. In the interval exercise highest recorded HR were 216 ± 2 bpm in C and 219 ± 1 bpm in R and in the uphill interval exercise it was 221 ± 1 bpm in C and 224 ± 1 bpm in R, respectively.
Lactate response and hematocrit
There were no effects of group, interaction of group and occasion or training status (number of training sessions 3 weeks prior to test) on blood lactate concentration following the 1,600 m test (Figure 2). However, there was a significant effect of occasion and lactate was lower in October 2012 as 3-year-olds for both groups and also in December 2012 for C but not R compared with the first test in March 2011 as 2-year-olds. There was no difference in VLa4 between groups and the highest VLa4 was observed in July to August 2012 (Table 3).
Lactate and hematocrit response. Lactate (mmol/L blood) and hematocrit (%) within 1 minute after a 1,600 m-test at an oval racetrack in 16 horses divided in a control (squares) and a reduced (by 30% distance, triangles) training program since March as 2-year-olds. * Indicate difference (P < 0.05) between the control and reduced group. Unfilled dots indicate a significant difference from the starting point in March as 2-year-olds within group. Number of participating horses in each test: 12, 8, 15, 11, 15, 12, 11, 13, 13, 12.
The hematocrit increased during the study (Figure 2 and Table 3) and was higher overall in C than in R both after the VLa4-test (56 ± 0 and 55 ± 1, respectively, P < 0.05) and after the 1,600 m-test (Figure 2, P < 0.05). In the 1,600 m-test there was also an effect of occasion where haematocrit in all horses increased from 50 ± 1% in March 2011 as 2-year-olds to 59 ± 1% in December 2012 as 3-year-olds but there was no interaction between group and occasion and no effect of training status in either of the tests (Figure 2 and Table 3).
Recovery heart rate, resting HR and HR at VLa4
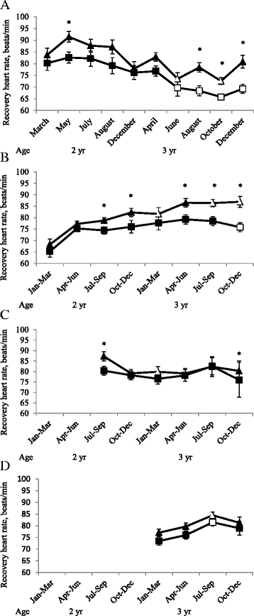
The HR10 following the 1,600 m-test was lower in C than in R (P < 0.0001) and in August, October and December 2012 as 3-year-olds compared with the starting value in March 2011 as 2-year-olds (Figure 3). For both groups, HR10 following the 1,600 m-test, compared to values in March as 2-year-olds, was lower in October as 3-year-olds and in December as 3-year-olds for C only. The HR10 after uphill interval exercise was higher for R (P < 0.05). The HR10 after heat exercise was higher in R (P < 0.0001) with significant differences for all periods except 1, 2 and 5. In the 1,600 m-test, HR10 was positively correlated with blood lactate concentration (r = 0.28, P < 0.05) and negatively correlated with hematocrit (r = − 0.41, P < 0.0001). There were no effects of training status on HR10 following any of the exercise regimens.
Recovery heart rate. Heart rate 10 min after finishing 1,600 m-tests (A), number of participating horses in each test: 12, 8, 15, 11, 15, 12, 11, 13, 13, 12,), after training sessions performed as heat training (B), interval training on flat track (C) and uphill interval training (D) in 16 horses divided in a control (squares) and a reduced (by 30% distance, triangles) training group since March as 2-year-olds * Indicate difference (P < 0.05) between the control and reduced group. Unfilled dots indicate a significant difference within group from (A) the starting point in March as 2-year-olds, (B) from January-June as 2-year-olds, (C) from July-September as 2-year-olds and (D) from January-March as 3-year-olds.
The resting HR was higher in R than in C, both overall and as 3-year-olds (P < 0.05) when both method 1 (auscultation) and method 2 (HR-meter) were used. In both groups, resting HR decreased from 1-year-olds to 2- and 3-year-olds when measured with method 1 but only in C when measured with method 2 (Table 4). There was no difference in HR at VLa4 between groups (C: 211 ± 3 bpm; R: 217 ± 3, P > 0.05).
Blood volume, echocardiogram and blood pressure
Blood volume was similar in both groups (C: 55.9 ± 1.5 L and R: 54.8 ± 1.5 L, P > 0.05).
There was a tendency (P < 0.1) for an interaction of group and age for diameter of aorta /100 kg BW but no overall effect of group or age (Table 4). The left ventricular internal diameter during diastole (LVIDd) was not affected by group or age. There was no difference in RR between groups, but in R the RR was lower as 2-year-olds than as 1-year-olds (Table 4). There were no differences between groups in systolic BP, diastolic BP or mean arterial pressure (Table 4). When all horses were analyzed as one group, the RR and diastolic BP decreased from the age of 1 year until the age of 2 years (11 ± 1 and 9 ± 0 breaths/min and 72 ± 2 and 66 ± 2 mmHg, respectively).
Discussion
General
This study shows that reducing the training distance by 30% did not affect muscle aerobic capacity, assessed as VLa4, by the time horses were expected to race as 3-year-olds. The training programs used were also efficient in terms of getting horses fit for race as horses from both groups were able to pass a national qualification race and preparation race to a higher extent than the rest of the cohort of 2009 in training. Experimental horses also participated in true races as 3-year-olds to the same extent as the rest of the cohort [15]. However, the C horses showed, already within the first 2–8 months of training, more pronounced cardiovascular training responses indicated by the increased hematocrit and lower HR during and after exercise. These cardiovascular differences appear however, not to have any major impact on the goal to be fit for racing which is in accordance with earlier observations that VLa4 has a stronger correlation to race performance than HR during exercise [3].
Effects on circulation
Amongst the tested cardiovascular variables, recovery HR responded most rapidly to training distance and was within 2 months lower in C than in R. However, a significant decrease within groups was not observed until June 2012 as 3-year-olds and by the end of the study, both groups showed an improvement (reduction) of 17–19 beats (~20%) following the 1,600 m-tests. The rapid cardiovascular responses observed, especially in C, were consistent with earlier studies. Sixteen weeks of training may increase maximal oxygen consumption by as much as 19% [33]. Part of the improvement might be due to the increased hematocrit where a 10% increase was associated with a 5% higher circulating O2 volume [34]. Possible reasons for a decreased HR include increased stroke volume [35] and cardiac output [36], increased plasma volume [37], increased capillary density of skeletal muscles [38] and increased muscle oxidative capacity with increased fiber type IIA/IIB ratio [39]. In the present study there was no support for an increased cardiac volume based on the size of the left ventricle, nor of blood volume. This is in contrast to Buhl and Ersbøll [40] where an increase in the size of the left ventricle with training and age was reported for Standardbred horses at the age of 2–3.5 years. The reason for lack of response in the size of the left ventricle in the present study is unclear but may be due to a low number of observations. However, the aortic diameter showed a tendency to be larger in C compared to R indicating increased central circulatory conductance. Reports of aortic adaptations to training in horses are scarce but a larger aortic dimension has earlier been observed in human endurance athletes compared to strength training athletes [41].
There was also a more rapid adaptation of cardiovascular response in C than R with respect to HR during exercise. Within 6–9 months of training the time spent at HR > 180 bpm did not differ between groups, despite the longer exercise distance in C. With heat training, the C horses trotted at a higher speed than the R when HR > 180 bpm, which shows the greater aerobic capacity in C, than R, horses. This agrees with previous studies showing that HR during exercise may be reduced by 10–20 bpm in horses subjected to 4–10 weeks of training with HR 150 bpm for 20–30 min [42] or 4–10 min of interval training [43]. The comparatively fast and marked effects on HR during exercise observed in these studies might be due to a low initial level of fitness, since the rate of improvement seems to decline the more fit the horse gets [26,44]. Evans and Rose [36] showed no change in exercise HR response during 7 weeks of training at mean velocities of 4–8.3 m/s and Lindner et al. [45] did not find any improvement in the velocity at HR 180 bpm in horses trained at a blood lactate concentration of 10 mmol/L for 6 weeks, in detrained and untrained horses. In the present study, horses had been in training for 6 months prior to the first test and a more marked HR reduction could probably not be expected. The present study also showed a clear effect of training on HR at rest. A reduction in HR at rest with increased fitness is a well-known effect in human athletes [46] but the same response has not until very recently [47] been documented in horses and never in horses at the same age submitted to different levels of training. For measurement of resting HR the use of HR meters during night time can be recommended since excitement, especially when horses were 1 year old, probably affected the manual measurements with a stethoscope.
There was no effect of training on BP and RR which agrees with earlier observations on horses subjected to shorter training periods of 10–16 weeks [48,49].
Effects on lactate response
The ability to achieve a similar VLa4 with both training volumes demonstrates that the rapidity of skeletal muscle submaximal metabolic adaptation (i.e. oxidative capacity) was not impaired by reduced distance of high intensity training. This implies that the volume (duration) of the training sessions may not be a crucial point in improving VLa4 once volume is above an as yet undetermined threshold. Once above the volume threshold, intensity (speed or load; i.e. total muscle fibre recruitment) or repetitions (number of training sessions [50]) are likely of greater importance.
When training as 3-year-olds, there was an increase in VLa4 in all horses during the summer and autumn period compared to the first test performed in the spring but VLa4 then decreased in the last test performed in December. In the same month, higher lactate concentration, hematocrit and recovery HR was observed with the 1,600Â m-test. These effects are probably attributed to additional stress associated with poorer training conditions during winter (altered track surface, heavier shoes on horses and clothing of drivers increasing weight and air friction for example), and possibly other reasons such as impaired health status. In general, field tests have been shown to have a good reproducibility in French Standardbred trotters when performed on the same track [51], such as occurred in the present study. However, differences in the physiological responses to different tracks have been reported [52] which may be comparable to seasonal changes in track conditions in the present study. By testing equally many horses from each group at the same time (all horses exercised in group), the risk of unbalanced conditions were minimized.
Assessment of training progress
This study confirms that both working and recovery HR are valuable measurements to detect training progress. Recovery HR is easy to measure with a stethoscope and can therefore be used by trainers as part of their routine to follow the development of a horse. Measuring recovery HR may also provide a more reliable measurement than submaximal heart rate as HR-meters may lose contact for periods during exercise. In contrast, measurement of lactate in response to our 1,600 m-test appears to be of limited value to assess short-term training effects of young Standardbred horses since the concentration did not decrease significantly until October 2012 as 3-year-olds. This is similar to observations by Ronéus et al. [25] who measured lactate responses to a submaximal work in Standardbred trotters at 24, 26, 29 and 40 months of age where a significant decrease was observed only at 40 months. It shall also be noted that the post-exercise sample may not represent the maximal blood lactate response to the test since peak plasma lactate concentration may occur 0–10 min post exercise [53]. To test VLa4 as in the present study appears to be too imprecise to indicate training response.
Interestingly, lost training three weeks prior to exercise tests did not affect metabolic and cardiovascular responses significantly since there were no effects of training status (quantity of training three weeks prior to the tests) on the HR and lactate responses. Earlier studies on the effect of reduced activity on oxygen uptake, HR and lactate responses to exercise are contradictory [43,54-57]. The variation in responses between studies might be due to the level of fitness in the horses, to the volume of reduction and to a low number of observations in each study.
Conclusions
Horses subjected to a reduced distance of high intensity training from the age of two showed an attenuated training effect on the cardiovascular system, but were able to maintain the same muscle metabolic system responses to submaximal exercise and race participation as horses subjected to a longer training distance. This implies that the duration of training sessions, at least within the interval used in the present study, may not be a crucial point for achieving race fitness and future studies need to investigate the importance of exercise intensity and number and frequency of training sessions. As is now common practice, measurement of recovery HR after a standardized test is recommended to monitor training progress.
Endnotes
aVenosafe, Terumo Europe, Leuven, Belgium.
bArkray Factory Inc., Koji Konan-cho, Koka, Shiga, Japan.
cHemokrit 4, Lic Instruments, Stockholm, Sweden.
dVivid 3, GE Healthcare, General Electrics, UK.
e95% Lucerne, 5% molasses, Krafft AB, Sweden.
f50-150 g of Miner Röd, content/kg: Ca, 110 g; P, 17 g; Mg, 60 g; NaCl, 125 g; Cu, 1 200 mg; Se, 15 mg; vitamin A, 200,000 IU; vitamin D3, 10,000 IU; and vitamin E, 15,000 mg or 150 g of Miner Vit content/kg: Ca 55 g; P 65 g; Mg 60 g; NaCl 125 g; Cu 900 mg; Se 15 mg; vitamin A 100,000 IU; vitamin D3 10,000 IU; and vitamin E 5,000 mg, Krafft AB, Sweden.
gProtect E-Selen, Lantmännen Lantbruk, Sweden.
Abbreviations
- BP:
-
Blood pressure
- bpm:
-
Beats per minute
- C:
-
Group of horses submitted to a control training program
- HR:
-
Heart rate
- LVIDd:
-
Left ventricle internal diameter at diastole
- R:
-
Group of horses submitted to a reduced distance training program
- Resting HR1:
-
HR determined by phonendoscope
- Resting HR2:
-
HR determined from HR-meters
- RR:
-
Respiratory rate
- VLa4 :
-
Velocity at blood lactate concentration of 4 mmol/litre
References
Courouce A, Chatard JC, Auvinet B. Estimation of performance potential of Standardbred trotters from blood lactate concentrations measured in field conditions. Equine Vet J. 1997;29:365–9.
Leleu C, Cotrel C, Barrey B. Relationships between biomechanical variables and race performance in French Standardbred trotters. Livest Prod Sci. 2005;92:39–46.
Lindner AE. Relationships between racing times of Standardbreds and v(4) and v(200). J Anim Sci. 2010;88:950–4.
Evans DL. Cardiovascular adaptations to exercise and training. Vet Clin North Am Equine Pract. 1985;1:513–31.
Snow DH, Valberg SJ. Muscle anatomy, physiology, and adaptations to exercise and training. In: Hodgson DR, Rose RJ, editors. The athletic horse: principles and practice of equine sports medicine. 1994. p. 145–79.
Lindholm A, Saltin B. Physiological and biochemical response of standard-bred horses to exercise of varying speed and duration. Acta Vet Scand. 1974;15:310–24.
Dyson PK, Jackson BF, Pfeiffer DU, Price JS. Days lost from training by two- and three-year-old Thoroughbred horses: A survey of seven UK training yards. Equine Vet J. 2008;40:650–7.
Vigre H, Chriel M, Hesselholt M, Falk-Ronne J, Ersboll AK. Risk factors for the hazard of lameness in Danish Standardbred trotters. Prev Vet Med. 2002;56:105–17.
Cogger N, Perkins N, Hodgson DR, Reid SWJ, Evans DL. Risk factors for musculoskeletal injuries in 2-year-old Thoroughbred racehorses. Prev Vet Med. 2006;74:36–43.
Estberg L, Gardner IA, Stover SM, Johnson BJ, Case JT, Ardans A. Cumulative racing-speed exercise distance clusters as risk factor for fatal musculoskeletal injury in thoroughbred racehorses in California. Prev Vet Med. 1995;24:253–63.
Hamlin MJ, Hopkins WG. Retrospective trainer-reported incidence and predictors of health and training-related problems in standardbred racehorses. J Equine Vet Sci. 2003;23:443–52.
Ringmark S, Roepstorff L, Essen-Gustavsson B, Revold T, Lindholm A, Hedenstrom U, et al. Growth, training response and health in Standardbred yearlings fed a forage-only diet. Animal. 2013;7:746–53.
Gaustad G, Kjaersgaard P, Dolvik NI. Lameness in 3-year-old standard-bred trotters influence of parameters determined during the first year of life. J Equine Vet Sci. 1995;15:233–9.
Arnason T. Genetic evaluation of Swedish standard-bred trotters for racing performance traits and racing status. J Anim Breed Gen. 1999;116:387–98.
Swedish Trotting Association Database. [www.travsport.se]
Blodbanken Database. [www.blodbanken.nu]
Arnason T. Genetic evaluations, genetic trends and inbreeding in Scandinavian trotter populations. In: Annual meeting of EAAP; 29 August - 2 September Stavanger, Norway. The Netherlands: Wageningen Academic Publishers; 2011. p. 132.
Collinder E. Födelsetidens inverkan pĂ¥ travhästars avelsvärde. Sv Vet Tidning. 1999;15:703–5.
Saastamoinen MT, Ojala MJ. Influence of birth-month on age at 1st start and racing performance in young trotters. Acta Agr Scand. 1991;41:437–45.
Dalin G, Magnusson LE, Thafvelin BC. Retrospective study of hindquarter asymmetry in standardbred trotters and its correlation with performance. Equine Vet J. 1985;17:292–6.
Magnusson LE, Thafvelin B. Studies on the conformation and related traits of standard-bred trotters in Sweden. J Anim Breed Gen. 1990;107:135–48.
Essengustavsson B, Lindholm A. Muscle-fiber characteristics of active and inactive standardbred horses. Equine Vet J. 1985;17:434–8.
Stefansdottir GJ, Ragnarsson S, Jansson A. A comparison of a portable blood lactate analyser and laboratory plasma analysis of blood samples from exercised horses. Comp Exerc Physiol. 2012;8:227–31.
Marlin D, Nankervis K. Equine exercie physiology. Oxford, United Kingdom: Blackwell Science Ltd.; 2002.
Roneus N, Essen-Gustavsson B, Lindholm A, Eriksson Y. Plasma lactate response to submaximal and maximal exercise tests with training, and its relationship to performance and muscle characteristics in standard-bred trotters. Equine Vet J. 1994;26:117–21.
Persson SGB. Evaluation of exercise tolerance and fitness in the performance horse. In: Snow DH, Persson SGB, Rose RJ, editors. Proceedings of the first international conference on equine exercise physiology 22–24 September 1983; Oxford. Cambridge: Granta Editions; 1983. p. 441–57.
Lindinger MI, Ecker GL. Gastric emptying, intestinal absorption of electrolytes and exercise performance in electrolyte-supplemented horses. Exp Physiol. 2013;98:193–206.
Patteson MW. Equine cardiology. New Jersey, United States: Blackwell science LTD; 1996.
Jansson A, Dahlborn K. Effects of feeding frequency and voluntary salt intake on fluid and electrolyte regulation in athletic horses. J Appl Physiol. 1999;86:1610–6.
McKeever KH, Hinchcliff KW, Schmall LM, Muir WW. Renal tubular function in horses during submaximal exercise. Am J Physiol. 1991;261:R553–60.
Henneke DR, Potter GD, Kreider JL, Yeates BF. Relationship between condition score, physical measurements and body-fat percentage in mares. Equine Vet J. 1983;15:371–2.
NRC. National Academy of Sciences National Research Council Committee Nutrient requirements of horses. Washington D.C: The National Academies press; 2007.
Christley RM, Hodgson DR, Evans DL, Rose RJ. Effects of training on the development of exercise-induced arterial hypoxemia in horses. Am J Vet Res. 1997;58:653–7.
Lykkeboe G, Schougaard H, Johansen K. Training and exercise change respiratory properties of blood in racehorses. Respir Physiol. 1977;29:315–25.
Ohmura H, Matsui A, Hada T, Jones JH. Physiological responses of young Thoroughbred horses to intermittent high-intensity treadmill training. Acta Vet Scand. 2013;55:59.
Evans DL, Rose RJ. Cardiovascular and respiratory responses to submaximal exercise training in the thoroughbred horse. Pflugers Arch. 1988;411:316–21.
Persson S. On blood volume and working capacity in horses. Studies on methodology and physiological and pathological variations. Acta Vet Scand. 1967; 19 Suppl: 9–189.
Essengustavsson B, McMiken D, Karlstrom K, Lindholm A, Persson S, Thornton J. Muscular adaptation of horses during intensive training and detraining. Equine Vet J. 1989;21:27–33.
Roneus M, Essen-Gustavsson B, Lindholm A, Persson SGB. Skeletal-muscle characteristics in young trained and untrained standard-bred trotters. Equine Vet J. 1992;24:292–4.
Buhl R, Ersboll AK. Echocardiographic evaluation of changes in left ventricular size and valvular regurgitation associated with physical training during and after maturity in Standardbred trotters. J Am Vet Med Assoc. 2012;240:205–12.
Kinoshita N, Mimura J, Obayashi C, Katsukawa F, Onishi S, Yamazaki H. Aortic root dilatation among young competitive athletes: Echocardiographic screening of 1929 athletes between 15 and 34 years of age. Am Heart J. 2000;139:723–8.
Thomas DP, Fregin GF, Gerber NH, Ailes NB. Effects of training on cardiorespiratory function in the horse. Am J Physiol. 1983;245:160–5.
Gottlieb-Vedi M, Persson S, Erickson H, Korbutiak E. Cardiovascular, respiratory and metabolic effects of interval training at VLA4. Zentralbl Veterinarmed A. 1995;42:165–75.
Tyler CM, Golland LC, Evans DL, Hodgson DR, Rose RJ. Changes in maximum oxygen uptake during prolonged training, overtraining, and detraining in horses. J Appl Physiol. 1996;81:2244–9.
Lindner A, Lopez RA, Durante E, Hernandez H, Botta V, Sadaba S, et al. Effect of conditioning horses every third day at v(10) on measures of fitness. J Anim Physiol Anim Nutr. 2011;95:286–93.
Kenney WL, Wilmore JH, Costill DL. Physiology of Sport and Exercise. 5th ed. Champaign, IL, USA: Human kinetics; 2012.
Betros CL, McKeever NM, Manso Filho HC, Malinowski K, McKeever KH. Effect of training on intrinsic and resting heart rate and plasma volume in young and old horses. Comp Exerc Physiol. 2013;9:43–50.
Bayly WM, Gabel AA, Barr SA. Cardiovascular effects of submaximal aerobic training on a treadmill in standardbred horses, using a standardized exercise test. Am J Vet Res. 1983;44:544–53.
Roberts CA, Marlin DJ, Lekeux P. The effects of training on ventilation and blood gases in exercising thoroughbreds. Equine Vet. J. 1999; 31 Suppl 30: 57–61.
Vonwittke P, Lindner A, Deegen E, Sommer H. Effects of training on blood lactate running speed relationship in thoroughbred racehorses. J Appl Physiol. 1994;77:298–302.
Dubreucq C, Chatard JC, Courouce A, Auvinet B. Reproducibility of a standardised exercise test for Standardbred trotters under field conditions. Equine Vet J. 1995;27:108–12.
Courouce A, Geffroy O, Barrey E, Auvinet B, Rose RJ. Comparison of exercise tests in French trotters under training track, racetrack and treadmill conditions. Equine Vet J. 1999; 31 Suppl 30: 528–532.
Gottlieb M, EssÉN-Gustavsson B, Lindholm A, Persson SGB. Circulatory and muscle metabolic responses to draught work compared to increasing trotting velocities. Equine Vet J. 1988;20:430–4.
Art T, Lekeux P. Training-induced modifications in cardiorespiratory and ventilatory measurements in thoroughbred horses. Equine Vet J. 1993;25:532–6.
Butler PJ, Woakes LS, Andersson LS, Smale K, Roberts CA, Snow DH. The effect of cessation of training on cardiorespiratory variables during exercise. In: Persson SGB, Lindholm A, Jeffcott LB, editors. Equine Exercise Physiology 3. Davis, CA: ICEEP Publications; 1991. p. 71–6.
Thornton J, Essen-Gustavsson B, Lindholm A, McMiken D, Persson S. Effects of training and detraining on oxygen uptake, cardiac output, blood gas tensions, pH and lactate concentrations during and after exercise in the horse. In: Snow DH, Persson SGB, Rose RJ, editors. Proceedings of the first international conference on equine exercise physiology 22–24 September 1983; Oxford. Cambridge: Granta Editions; 1983. p. 470–86.
Mukai K, Ohmura H, Hiraga A, Eto D, Takahashi T, Asai Y, et al. Effect of detraining on cardiorespiratory variables in young thoroughbred horses. Equine Vet J. 2006; 38 Suppl 36: 210–213.
Acknowledgements
The authors thank National Centre for Trotting Education, WĂ¥ngen, Sweden, for funding and staff and students at WĂ¥ngen for management of the horses. We are also grateful to Scandivet AB and Polar Finland for material support and Trioplast AB and Dow Chemicals for financial support. We would also like to thank Claudia von Brömssen for statistical support. A great thank also to Stig H Johansson, Thomas Uhrberg, Roger Persson, Lars-Ă…ke Svärdfeldt and Jan Halberg for contribution to the design of the training program.
Author information
Authors and Affiliations
Corresponding author
Additional information
Competing interests
All authors declare that they have no competing interests.
Authors’ contributions
SR participated in study design, collection and analysis of HR, lactate, and hematocrit data, performed statistical analyses and drafted the manuscript. AL participated in study design, collection of data and drafted the manuscript. UH participated in study design and data collection. ML participated in the measurements of blood volume and has critically revised the manuscript. CK carried out the measurements of blood pressure, resting HR, left ventricle and aorta and the interpretation of these results. KD participated in the blood volume and aldosterone measurements. AJ conceived and designed the study, participated in data collection, data analysis and drafted the manuscript. All authors read and approved the final manuscript. AL approved the manuscript in August 2014 before he passed away.
Arne Lindholm Deceased.
Rights and permissions
Open Access  This article is licensed under a Creative Commons Attribution 4.0 International License, which permits use, sharing, adaptation, distribution and reproduction in any medium or format, as long as you give appropriate credit to the original author(s) and the source, provide a link to the Creative Commons licence, and indicate if changes were made.
The images or other third party material in this article are included in the article’s Creative Commons licence, unless indicated otherwise in a credit line to the material. If material is not included in the article’s Creative Commons licence and your intended use is not permitted by statutory regulation or exceeds the permitted use, you will need to obtain permission directly from the copyright holder.
To view a copy of this licence, visit https://creativecommons.org/licenses/by/4.0/.
The Creative Commons Public Domain Dedication waiver (https://creativecommons.org/publicdomain/zero/1.0/) applies to the data made available in this article, unless otherwise stated in a credit line to the data.
About this article
Cite this article
Ringmark, S., Lindholm, A., Hedenström, U. et al. Reduced high intensity training distance had no effect on VLa4 but attenuated heart rate response in 2-3-year-old Standardbred horses. Acta Vet Scand 57, 17 (2015). https://doi.org/10.1186/s13028-015-0107-1
Received:
Accepted:
Published:
DOI: https://doi.org/10.1186/s13028-015-0107-1


